역코사인

역사인

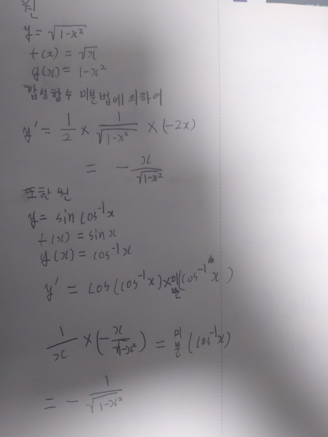
원이 sin(cos^-1(x)) 인것은 y= sinx t= cost임을 이용했습니다.
또 cos(sin^-1(x))또한 원인 점을 이용했습니다
'수학' 카테고리의 다른 글
| 재미있는 코딩으로 이해하는 미분 (0) | 2022.09.11 |
|---|---|
| 2019 수능 나형 21번 풀 때 해야 하는 사고과정 (0) | 2022.09.06 |
| 이차곡선 삼각함수 원을 이용한 표현 (0) | 2022.06.17 |
| 100만이하 소수 파일(txt) (0) | 2022.05.21 |
| 쌍곡선 삼각함수 표현 (0) | 2022.05.19 |